Упр.55.3 ГДЗ Мордкович 10-11 класс (Алгебра)
Решение #1
Решение #2

Рассмотрим вариант решения задания из учебника Мордкович, Семенов 11 класс, Мнемозина:
55.3 Придумайте три уравнения, равносильные уравнению:
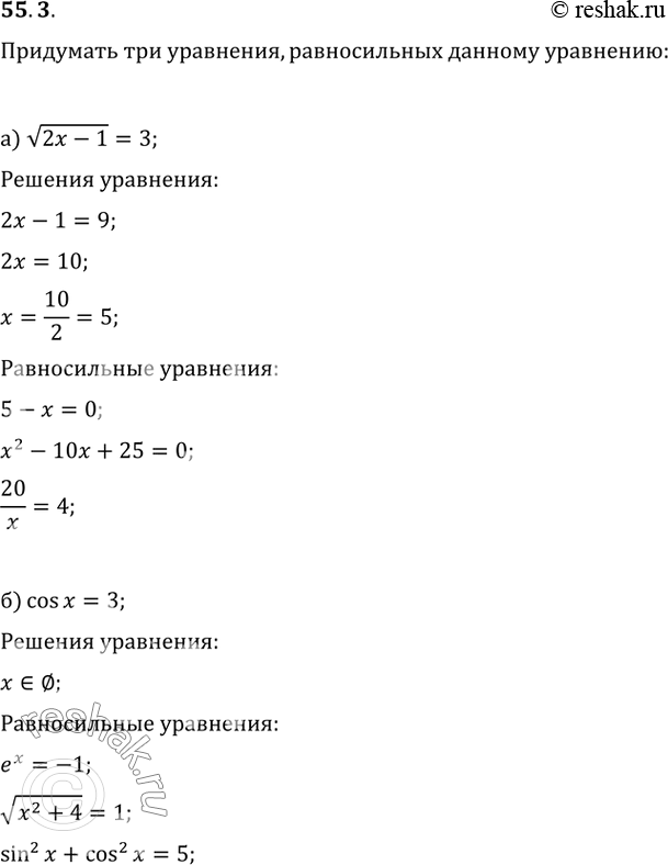
a) корень(2x - 1) = 3;
б) cos x = 3;
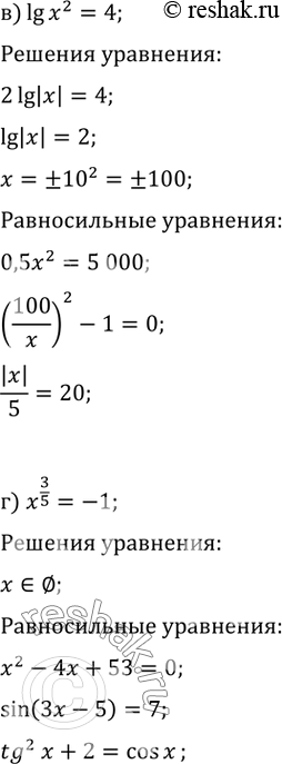
в) lg x^2 = 4;
г) x^3/5 = -1.
*размещая тексты в комментариях ниже, вы автоматически соглашаетесь с пользовательским соглашением