Упр.6.9 ГДЗ Мордкович 10-11 класс (Алгебра)
Решение #1
Решение #2

Рассмотрим вариант решения задания из учебника Мордкович, Семенов 10 класс, Мнемозина:
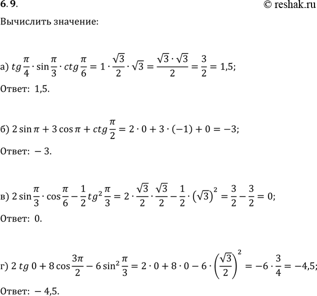
6.9
a) tg(РїРё/4) * sin(РїРё/3) * ctg(РїРё/6);
6) 2sin(РїРё) + 3cos(РїРё) + ctg(РїРё/2);
РІ) 2sin(РїРё/3) * cos(РїРё/6) - 1/2*tg^2(РїРё/3);
Рі) 2tg0 + 8cos(3РїРё/2) - 6sin^2(РїРё/3).
*размещая тексты в комментариях ниже, вы автоматически соглашаетесь с пользовательским соглашением