Упр.12.38 ГДЗ Мордковича 11 класс профильный уровень (Алгебра)
Решение #1
Решение #2(записки учителя)
Решение #3(записки школьника)

Рассмотрим вариант решения задания из учебника Мордкович, Семенов 11 класс, Мнемозина:
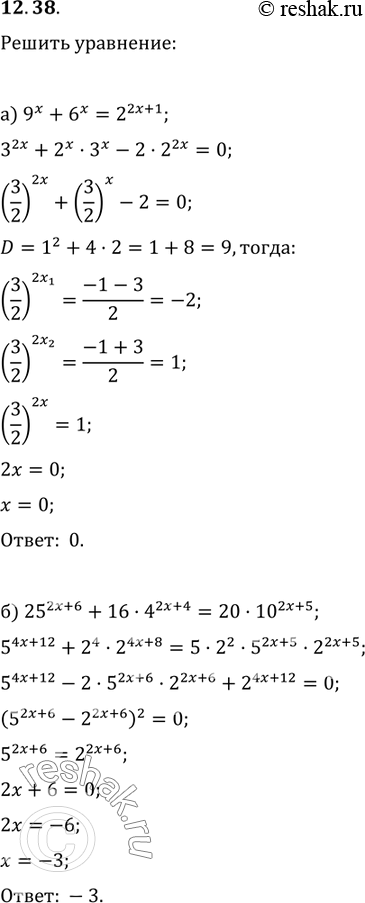
12.38. Решите уравнение:
а) 9х + 6х = 2^(2х +1);
б) 25^(2х + 6) + 16 * 4^(2х+4) = 20 * 10^(2х + 5).
*размещая тексты в комментариях ниже, вы автоматически соглашаетесь с пользовательским соглашением