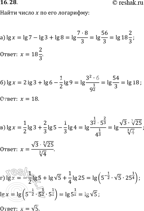
Упр.16.28 ГДЗ Мордковича 11 класс профильный уровень (Алгебра)
Решение #1
Решение #2(записки учителя)
Решение #3(записки школьника)

Рассмотрим вариант решения задания из учебника Мордкович, Семенов 11 класс, Мнемозина:
a) lgx = lg7 - lg3 + lg8;
б) lgx = 2lg3 + lg6 - - 1/2lg9;
в) lgx = 1/2lg3 + 2/3lg5 - - 1/3lg4;
r) lgx = -1/2lg5 + lg корень 5 + 1/4lg25.
*размещая тексты в комментариях ниже, вы автоматически соглашаетесь с пользовательским соглашением