Упр.19.7 ГДЗ Мордковича 11 класс профильный уровень (Алгебра)
Решение #1
Решение #2(записки учителя)
Решение #3(записки школьника)

Рассмотрим вариант решения задания из учебника Мордкович, Семенов 11 класс, Мнемозина:
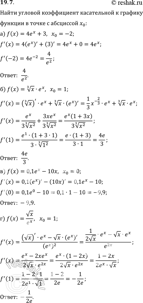
19.7. Найдите угловой коэффициент касательной к графику функции у = f(x) в точке с абсциссой х0:
а) f(x) = 4ех +3, х0 = -2;
б) f(x) = корень 3 степени x * ех, х0 = 1;
в) f(x) = 0,1ех - 10х, х0 = 0;
г) f(x) = корень x/ex, х0 = 1.
*размещая тексты в комментариях ниже, вы автоматически соглашаетесь с пользовательским соглашением