Упр.29.35 ГДЗ Мордковича 11 класс профильный уровень (Алгебра)
Решение #1
Решение #2(записки учителя)
Решение #3(записки школьника)

Рассмотрим вариант решения задания из учебника Мордкович, Семенов 11 класс, Мнемозина:
29.35 а)|x-4/x| <3 ;
б)|x-4/x| * |x/(x-2)| <7
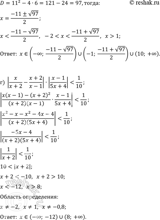
в)|x/(x+2) - (x+2)/(x-1)| <1/2;
г)|x/(x+2) - (x+2)/(x-1)| * |(x-1)/(5x+4)|<1/10.
*размещая тексты в комментариях ниже, вы автоматически соглашаетесь с пользовательским соглашением