№1274 ГДЗ Атанасян 7-9 класс по геометрии (Геометрия)

Решение #1

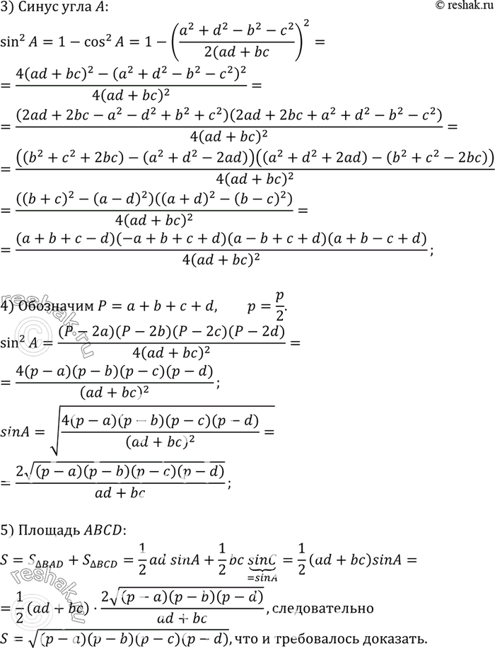
Изображение Докажите, что площадь четырёхугольника, вписанного в окружность, может быть вычислена по формуле S = корень(p -a)(p -b)(p -c)(p-d), где р — полупериметр, а, b, с, d —...
Дополнительное изображение

Рассмотрим вариант решения задания из учебника Атанасян, Бутузов 9 класс, Просвещение:
Докажите, что площадь четырёхугольника, вписанного в окружность, может быть вычислена по формуле S = корень(p -a)(p -b)(p -c)(p-d), где р — полупериметр, а, b, с, d — стороны четырёхугольника.
*Цитирирование задания со ссылкой на учебник производится исключительно в учебных целях для лучшего понимания разбора решения задания.
*размещая тексты в комментариях ниже, вы автоматически соглашаетесь с пользовательским соглашением