№922 ГДЗ Атанасян 7-9 класс по геометрии (Геометрия)

Решение #1

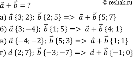
Изображение Найдите координаты вектора а + b, если: а) а {3; 2}, b {2; 5}; б) а {3; -4}, b {1; 5}; в) а {-4; -2}, b {5; 3}; г) а {2; 7}, b {-3;...

Рассмотрим вариант решения задания из учебника Атанасян, Бутузов 9 класс, Просвещение:
Найдите координаты вектора а + b, если: а) а {3; 2}, b {2; 5}; б) а {3; -4}, b {1; 5}; в) а {-4; -2}, b {5; 3}; г) а {2; 7}, b {-3; -7}.
*Цитирирование задания со ссылкой на учебник производится исключительно в учебных целях для лучшего понимания разбора решения задания.
*размещая тексты в комментариях ниже, вы автоматически соглашаетесь с пользовательским соглашением