№923 ГДЗ Атанасян 7-9 класс по геометрии (Геометрия)

Решение #1

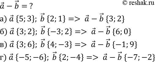
Изображение Найдите координаты вектора а-b, если: а) а{5; 3}, b {2; 1}; б) а {3; 2}, b{-3; 2}; в) а {3; 6}, b {4; -3}; г) а {-5; -6}, b {2;...

Рассмотрим вариант решения задания из учебника Атанасян, Бутузов 9 класс, Просвещение:
Найдите координаты вектора а-b, если: а) а{5; 3}, b {2; 1}; б) а {3; 2}, b{-3; 2}; в) а {3; 6}, b {4; -3}; г) а {-5; -6}, b {2; -4}.
*Цитирирование задания со ссылкой на учебник производится исключительно в учебных целях для лучшего понимания разбора решения задания.
*размещая тексты в комментариях ниже, вы автоматически соглашаетесь с пользовательским соглашением