№963 ГДЗ Атанасян 7-9 класс по геометрии (Геометрия)

Решение #1

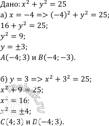
Изображение На окружности, заданной уравнением х2 + у2 = 25, найдите точки: а) с абсциссой -4; б) с ординатой...

Рассмотрим вариант решения задания из учебника Атанасян, Бутузов 9 класс, Просвещение:
На окружности, заданной уравнением х2 + у2 = 25, найдите точки: а) с абсциссой -4; б) с ординатой 3
*Цитирирование задания со ссылкой на учебник производится исключительно в учебных целях для лучшего понимания разбора решения задания.
*размещая тексты в комментариях ниже, вы автоматически соглашаетесь с пользовательским соглашением