№966 ГДЗ Атанасян 7-9 класс по геометрии (Геометрия)

Решение #1

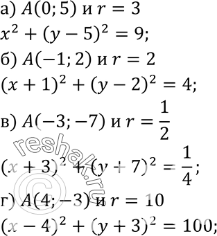
Изображение Напишите уравнение окружности радиуса r с центром А, если: а) А (0; 5), r= 3; б) А(-1; 2), r = 2; в) А (-3;-7), r =1/2; г) А(4;-3),...

Рассмотрим вариант решения задания из учебника Атанасян, Бутузов 9 класс, Просвещение:
Напишите уравнение окружности радиуса r с центром А, если: а) А (0; 5), r= 3; б) А(-1; 2), r = 2; в) А (-3;-7), r =1/2; г) А(4;-3), r=10.
*Цитирирование задания со ссылкой на учебник производится исключительно в учебных целях для лучшего понимания разбора решения задания.
*размещая тексты в комментариях ниже, вы автоматически соглашаетесь с пользовательским соглашением