№989 ГДЗ Атанасян 7-9 класс по геометрии (Геометрия)

Решение #1

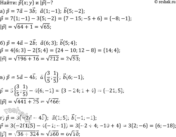
Изображение Найдите координаты вектора р и его длину, если: а) р = 7а- 3b, а {1; -1}, b {5; -2}; б) р = 4а - 2b, а {6; 3}, b {5; 4}; в) р = 5а - 4b, а {3/5;1/5}, b {6; -1}; г) р = 3...

Рассмотрим вариант решения задания из учебника Атанасян, Бутузов 9 класс, Просвещение:
Найдите координаты вектора р и его длину, если: а) р = 7а- 3b, а {1; -1}, b {5; -2}; б) р = 4а - 2b, а {6; 3}, b {5; 4}; в) р = 5а - 4b, а {3/5;1/5}, b {6; -1}; г) р = 3 (-2а - 4b), а {1; 5}, b {-1; -1}.
*Цитирирование задания со ссылкой на учебник производится исключительно в учебных целях для лучшего понимания разбора решения задания.
*размещая тексты в комментариях ниже, вы автоматически соглашаетесь с пользовательским соглашением