Упр.1034 ГДЗ Алимов 10-11 класс (Алгебра)
Решение #1
Решение #2

Рассмотрим вариант решения задания из учебника Алимов, Колягин, Ткачёва 11 класс, Просвещение:
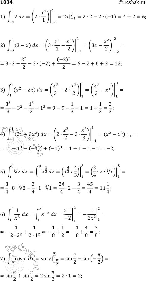
1034 Вычислить интеграл:
1) интеграл (-1;2) 2dx;
2) интеграл (-2;2) (3-x)dx;
3) интеграл (1;3) (x2-2x)dx;
4) интеграл (-1;1) (2x-3x2)dx;
5) интеграл (1;8) корень 3 степени x dx;
6) интеграл (1;2) dx/x3;
7) интеграл (-пи/2;пи/2) cosxdx.
*размещая тексты в комментариях ниже, вы автоматически соглашаетесь с пользовательским соглашением