Упр.1492 ГДЗ Алимов 10-11 класс (Алгебра)
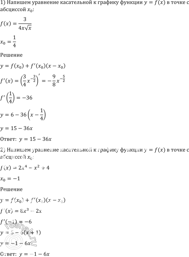
Решение #1
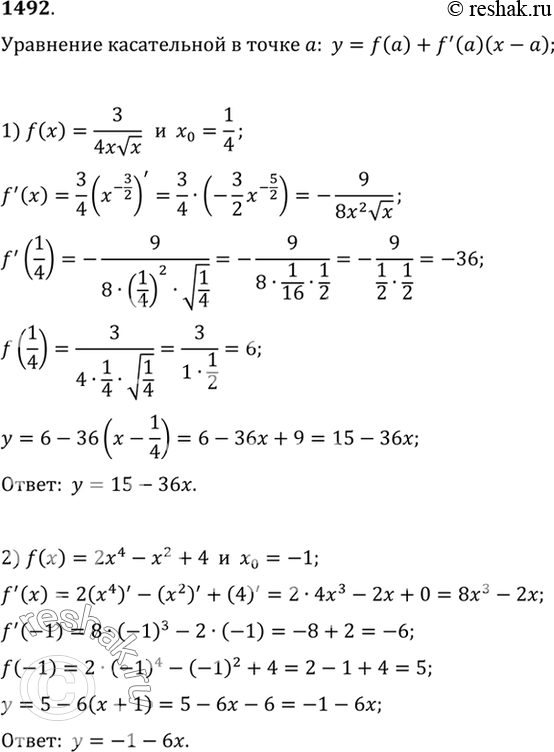
Решение #2

Рассмотрим вариант решения задания из учебника Алимов, Колягин, Ткачёва 11 класс, Просвещение:
1492 Написать уравнение касательной к графику функции у = f (х) в точке с абсциссой x0:
1) f(x) =3/4x корень x, x0=1/4;
2) f(x) = 2x4-x2+4, x0=-1.
*размещая тексты в комментариях ниже, вы автоматически соглашаетесь с пользовательским соглашением