Упр.1498 ГДЗ Алимов 10-11 класс (Алгебра)
Решение #1
Решение #2

Рассмотрим вариант решения задания из учебника Алимов, Колягин, Ткачёва 11 класс, Просвещение:
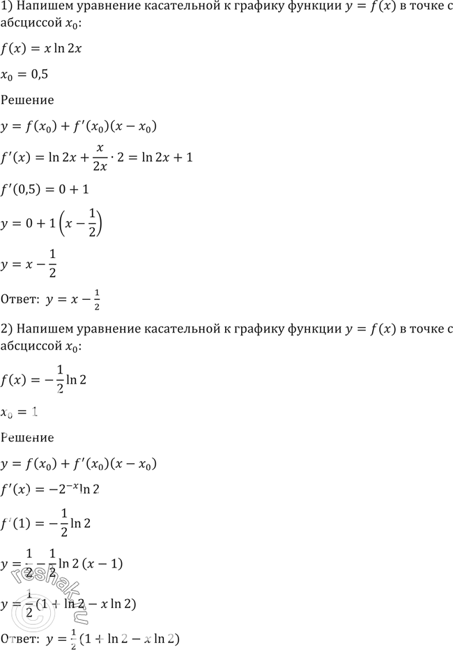
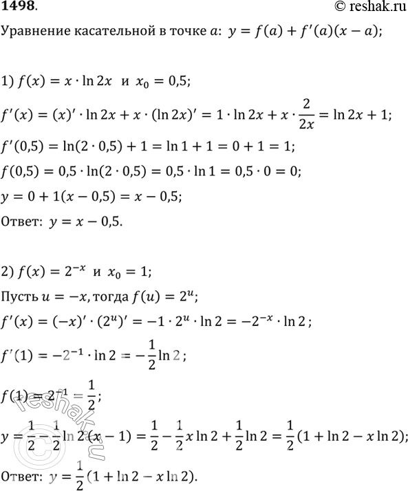
1498 Написать уравнение касательной к графику функции у = f (х) в точке с абсциссой х0:
1) f (х) = х ln 2х, х0 = 0,5;
2) f(x)= 2^-х, х0=1.
*размещая тексты в комментариях ниже, вы автоматически соглашаетесь с пользовательским соглашением