Упр.1606 ГДЗ Алимов 10-11 класс (Алгебра)
Решение #1
Решение #2

Рассмотрим вариант решения задания из учебника Алимов, Колягин, Ткачёва 11 класс, Просвещение:
Решить систему уравнений (1606 - 1608)
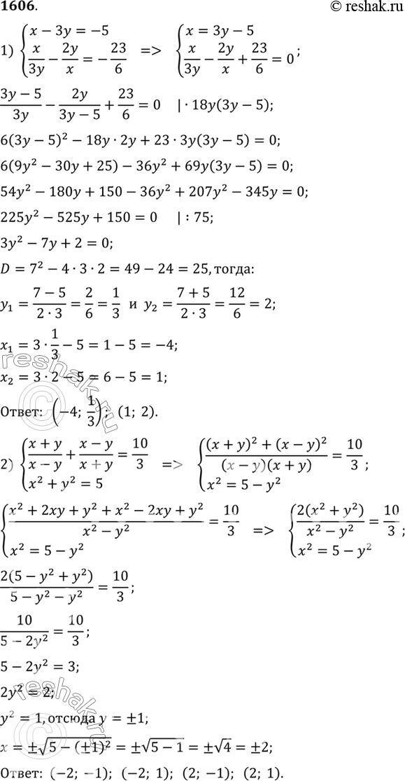
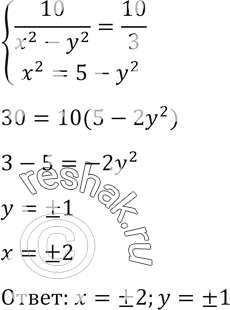
1606
1) система
x-3y=-5,
x/3y - 2y/x=-23/6;
2) система
(x+y)/(x-y) + (x-y)/(x+y) =10/3,
x2+y2=5.
*размещая тексты в комментариях ниже, вы автоматически соглашаетесь с пользовательским соглашением