Упр.1611 ГДЗ Алимов 10-11 класс (Алгебра)
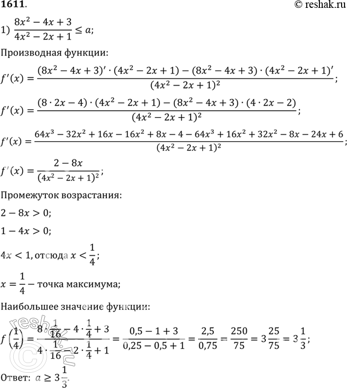
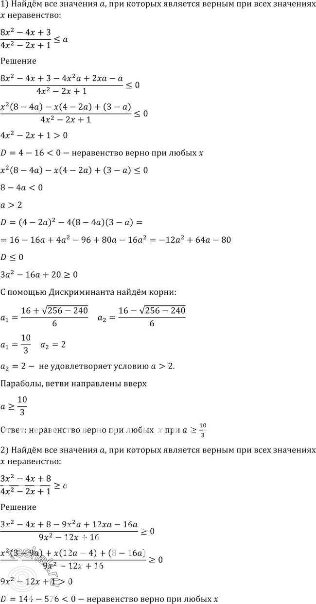
Решение #1
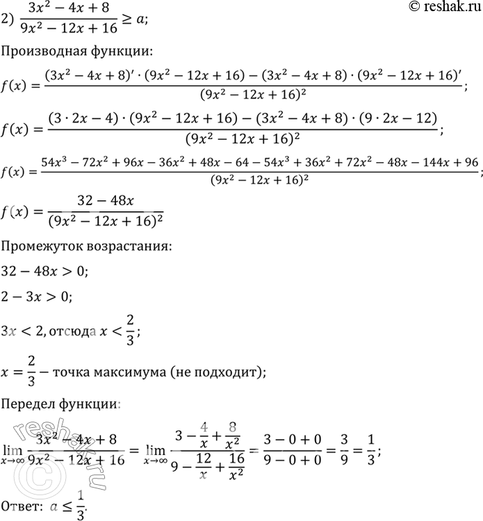
Решение #2

Рассмотрим вариант решения задания из учебника Алимов, Колягин, Ткачёва 11 класс, Просвещение:
1611 Найти все значения а, при которых является верным при всех значениях х неравенство:
1) (8x2-4x+3)/(4x2-2x+1) <=a;
2) (3x2-4x+8)/(9x2-12x+16) >=a
*размещая тексты в комментариях ниже, вы автоматически соглашаетесь с пользовательским соглашением