Упр.1614 ГДЗ Алимов 10-11 класс (Алгебра)
Решение #1
Решение #2

Рассмотрим вариант решения задания из учебника Алимов, Колягин, Ткачёва 11 класс, Просвещение:
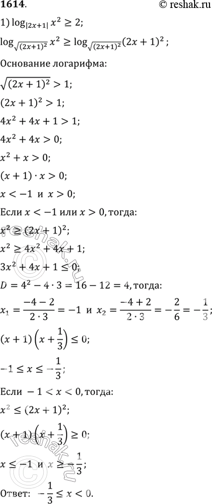
1614 1)log|2x+1| (x2)>=2;
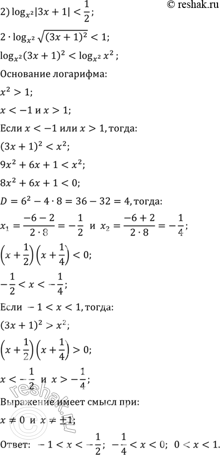
2) logx2|3x+1|<1/2.
*размещая тексты в комментариях ниже, вы автоматически соглашаетесь с пользовательским соглашением