Упр.327 ГДЗ Алимов 10-11 класс (Алгебра)
Решение #1
Решение #2

Рассмотрим вариант решения задания из учебника Алимов, Колягин, Ткачёва 10 класс, Просвещение:
327 Решить уравнение
1) log3(5х - 1) = 2;
2) log5 (3х + 1) = 2;
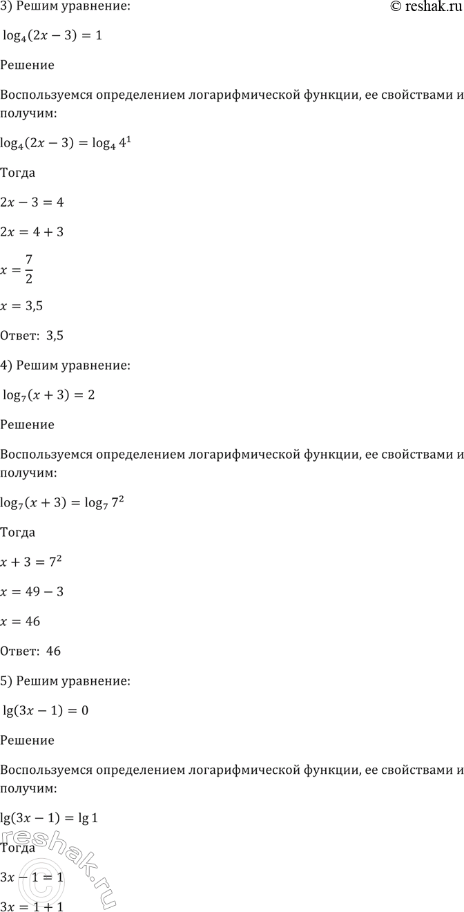
3) log4 (2х - 3) = 1;
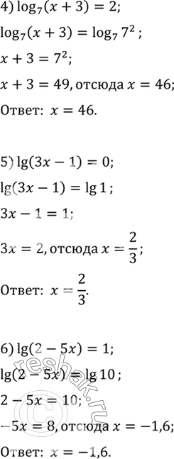
4) log7 (x + 3) = 2;
5) lg (3х - 1) = 0;
6) lg (2 - 5x) = 1.
*размещая тексты в комментариях ниже, вы автоматически соглашаетесь с пользовательским соглашением