Упр.467 ГДЗ Алимов 10-11 класс (Алгебра)
Решение #1
Решение #2

Рассмотрим вариант решения задания из учебника Алимов, Колягин, Ткачёва 10 класс, Просвещение:
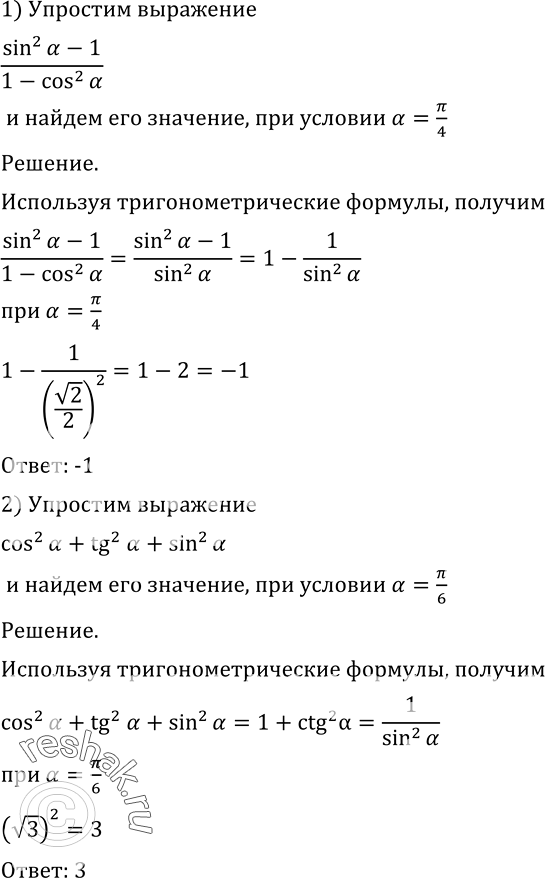
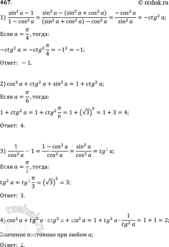
467 Упростить выражение и найти его значение:
1) (sin2a - 1)/(1-cos2a) при a=пи/4;
2) cos2a + ctg2a + sin2a при a=пи/6;
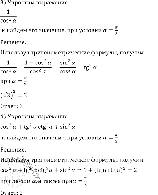
3) 1/cos2a - 1при a=пи/3;
4) cos2 а + tg2 a ctg2 а0 + sin2 а при a=пи/3.
*размещая тексты в комментариях ниже, вы автоматически соглашаетесь с пользовательским соглашением