Упр.51 ГДЗ Алимов 10-11 класс (Алгебра)
Решение #1
Решение #2

Рассмотрим вариант решения задания из учебника Алимов, Колягин, Ткачёва 10 класс, Просвещение:
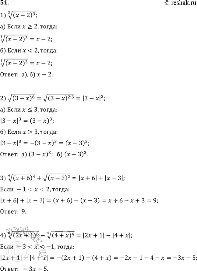
51. Упростить:
1) корень 3 степени (x-2)3 при а)x>=2; б) x<2;
2) корень (3-x)6 при а) x<=3; б) x>2;
3) корень 4 степени (x+6)4 + корень (x-3)2, если -12;
4) корень 6 степени (2x+1)6 - корень 4 степени (4+x)4 если -3< x<-1.
*размещая тексты в комментариях ниже, вы автоматически соглашаетесь с пользовательским соглашением