Упр.793 ГДЗ Алимов 10-11 класс (Алгебра)
Решение #1
Решение #2

Рассмотрим вариант решения задания из учебника Алимов, Колягин, Ткачёва 11 класс, Просвещение:
793 Найти f'(x0), если:
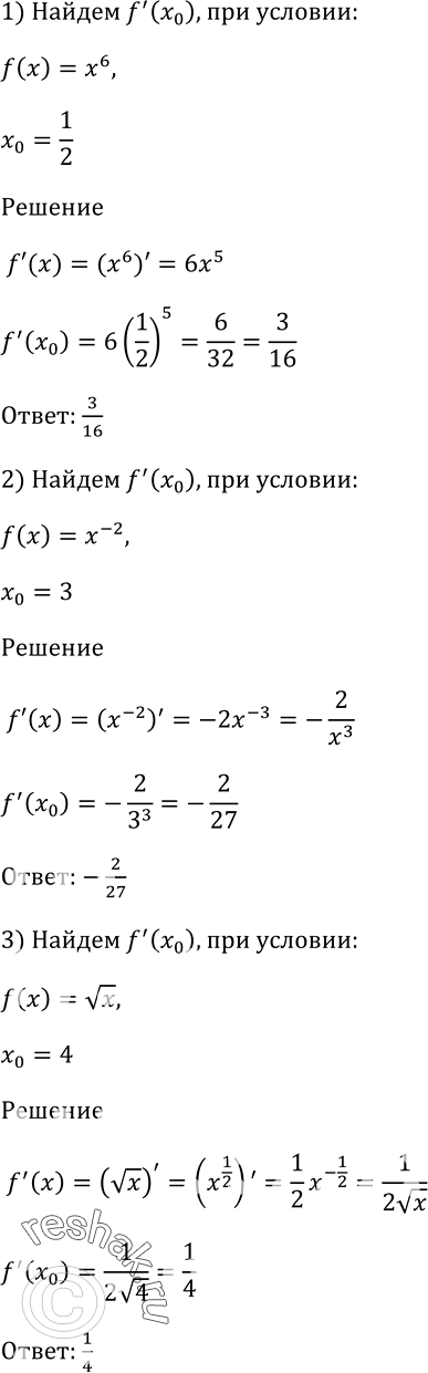
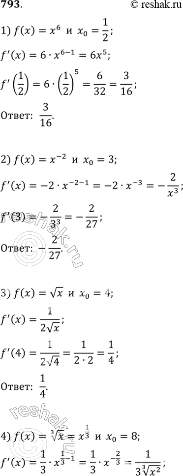
1) f(x) = x6, x0=1/2;
2) f(x) = x^-2, x0=3;
3) f(x) = корень x, x0=4;
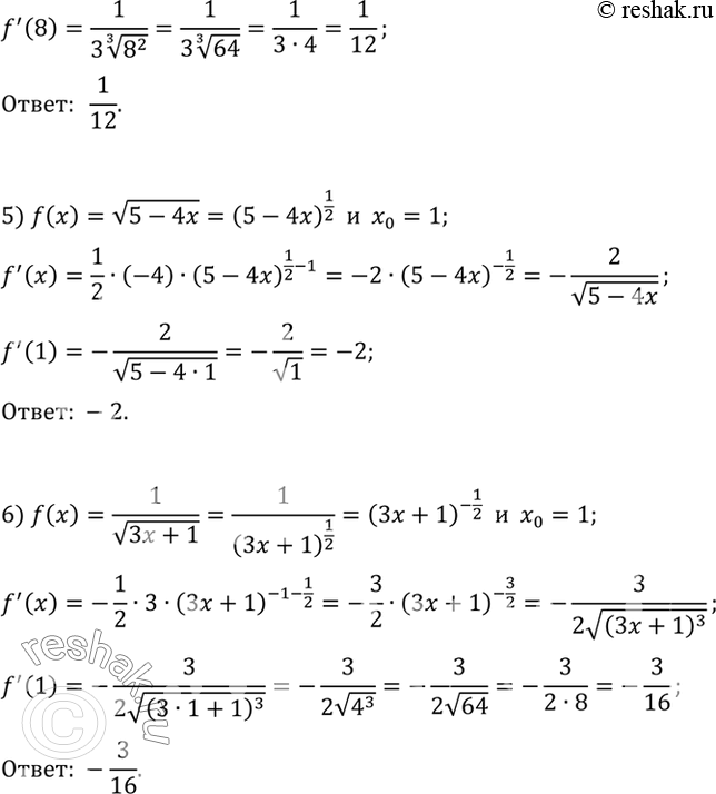
4) f(x) = корень 3 степени x, x0=8;
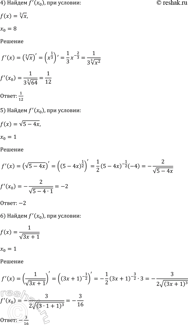
5) f(x) = корень (5-4x), x0=1;
6) f(x) = 1/(корень (3x+1), x0=1.
*размещая тексты в комментариях ниже, вы автоматически соглашаетесь с пользовательским соглашением