Упр.320 ГДЗ Макарычев Миндюк 8 класс (Алгебра)
Решение #1
Решение #2

Рассмотрим вариант решения задания из учебника Макарычев, Миндюк, Нешков 8 класс, Просвещение:
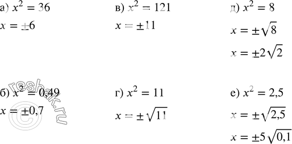
320. Решите уравнение:
а) х2 = 36;
б) х2 = 0,49;
в) х2 = 121;
г) х2 = 11;
д) х2 = 8;
е) х2 = 2,5.
*размещая тексты в комментариях ниже, вы автоматически соглашаетесь с пользовательским соглашением