Упр.324 ГДЗ Макарычев Миндюк 8 класс (Алгебра)
Решение #1
Решение #2

Рассмотрим вариант решения задания из учебника Макарычев, Миндюк, Нешков 8 класс, Просвещение:
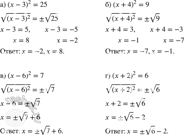
324. Решите уравнение:
а) (х - 3)2 = 25;
б) (х + 4)2 = 9;
в) (х - 6)2 = 7;
г) (х + 2)2 =6.
*размещая тексты в комментариях ниже, вы автоматически соглашаетесь с пользовательским соглашением