Упр.677 ГДЗ Макарычев Миндюк 8 класс (Алгебра)
Решение #1
Решение #2
Решение #3

Рассмотрим вариант решения задания из учебника Макарычев, Миндюк, Нешков 8 класс, Просвещение:
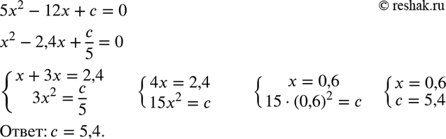
677. Один из корней уравнения 5х2 - 12х + с = 0 в 3 раза больше другого. Найдите с.
*размещая тексты в комментариях ниже, вы автоматически соглашаетесь с пользовательским соглашением