Упр.681 ГДЗ Макарычев Миндюк 8 класс (Алгебра)
Решение #1
Решение #2
Решение #3

Рассмотрим вариант решения задания из учебника Макарычев, Миндюк, Нешков 8 класс, Просвещение:
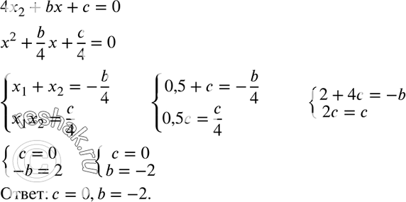
681 Один из корней уравнения 4x2 + bх + с = 0 равен 0,5, а другой — свободному члену. Найдите b и с.
*размещая тексты в комментариях ниже, вы автоматически соглашаетесь с пользовательским соглашением