Упр.979 ГДЗ Макарычев Миндюк 8 класс (Алгебра)

Решение #1

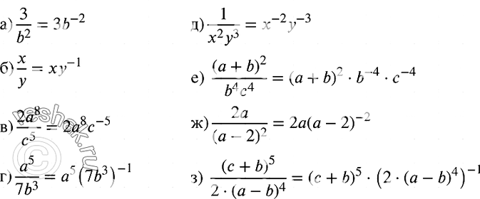
Изображение 979. Представьте в виде произведения дробь:а) 3/b2;б) x/y;в) 2a8/c5;г) a5/7b3;д) 1/x2y3;е) (a+b)2/b4c4;ж) 2a/(a-2)2; з) (c+b)/2(a-b)4....

Решение #2

Изображение 979. Представьте в виде произведения дробь:а) 3/b2;б) x/y;в) 2a8/c5;г) a5/7b3;д) 1/x2y3;е) (a+b)2/b4c4;ж) 2a/(a-2)2; з) (c+b)/2(a-b)4....
Загрузка...

Рассмотрим вариант решения задания из учебника Макарычев, Миндюк, Нешков 8 класс, Просвещение:
979. Представьте в виде произведения дробь:
а) 3/b2;
б) x/y;
в) 2a8/c5;
г) a5/7b3;
д) 1/x2y3;
е) (a+b)2/b4c4;
ж) 2a/(a-2)2;
з) (c+b)/2(a-b)4.
*Цитирирование задания со ссылкой на учебник производится исключительно в учебных целях для лучшего понимания разбора решения задания.
*размещая тексты в комментариях ниже, вы автоматически соглашаетесь с пользовательским соглашением