Упр.985 ГДЗ Макарычев Миндюк 8 класс (Алгебра)
Решение #1
Решение #2

Рассмотрим вариант решения задания из учебника Макарычев, Миндюк, Нешков 8 класс, Просвещение:
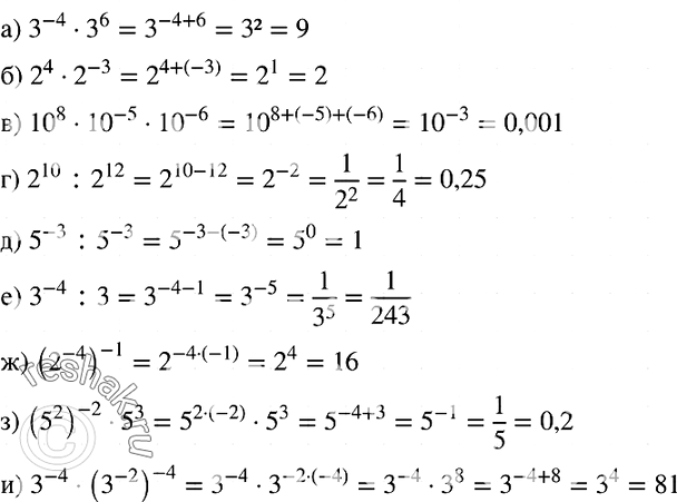
985. Найдите значение выражения:
а) 3^-4 * 3^6;
б) 2^4 * 2^-3;
в) 10^8 * 10^-5 * 10^-6;
г) 2^10 : 2^12;
д) 5^-3 : 5 ^-3;
е) 3^-4 : 3;
ж) (2^-4)^-1;
з) (5^2)^-2 * 5^3;
и) 3^-4 * (3^-2)^-4.
*размещая тексты в комментариях ниже, вы автоматически соглашаетесь с пользовательским соглашением