Упр.193 ГДЗ Макарычев Миндюк 9 класс (Алгебра)
Решение #1
Решение #2
Решение #3

Рассмотрим вариант решения задания из учебника Макарычев, Миндюк, Нешков 9 класс, Просвещение:
193. Представьте в виде степени с рациональным показателем:
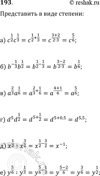
а) c1/2c1/3;
б) b^-1/3b1/2;
в) a2/3a1/6;
г) d5d1/2;
д) x1/2:x3/2;
е) y5/6 : y1/3;
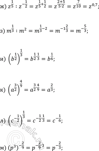
ж) z1/5 :z^-1/2;
з) m1/3 : m2;
и) (b1/2)1/3;
к) (a3/2)4/9;
л) c^-1/2)1/3;
м) (p3)^-2/9.
*размещая тексты в комментариях ниже, вы автоматически соглашаетесь с пользовательским соглашением