Упр.194 ГДЗ Макарычев Миндюк 9 класс (Алгебра)
Решение #1
Решение #2
Решение #3

Рассмотрим вариант решения задания из учебника Макарычев, Миндюк, Нешков 9 класс, Просвещение:
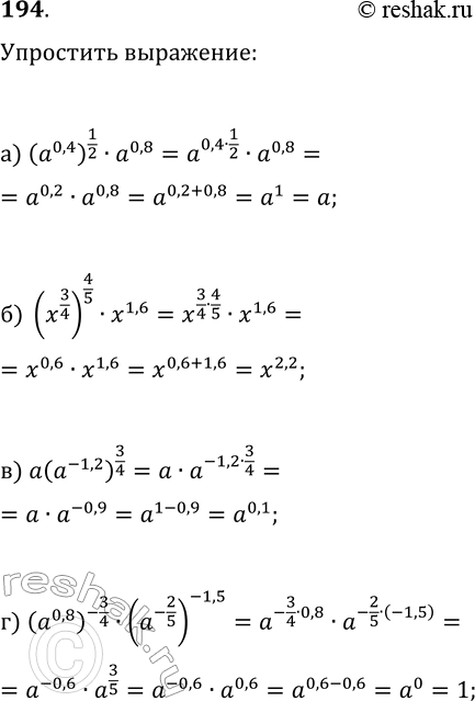
194 Упростите выражение:
а) (a0,4)1/2 * a0,8;
б) (x3/4)4/5 * x1,6;
в) a(a^-1,2)3/4;
г) (a0,8)^-3/4 * (a^-2/5)^-1,5.
*размещая тексты в комментариях ниже, вы автоматически соглашаетесь с пользовательским соглашением