Упр.259 ГДЗ Макарычев Миндюк 9 класс (Алгебра)
Решение #1
Решение #2

Рассмотрим вариант решения задания из учебника Макарычев, Миндюк, Нешков 9 класс, Просвещение:
259. При каких значениях переменной имеет смысл выражение:
а) корень 8 степени (x-2);
б) корень 4 степени ((9-x)/5);
в) корень 3 степени (x+5);
г) корень 8 степени (3a-5);
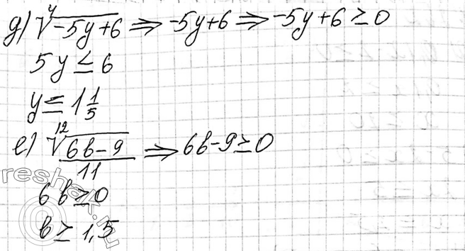
д) корень 4 степени (-5y+6);
г) корень 12 степени ((6b-9)/11)?
*размещая тексты в комментариях ниже, вы автоматически соглашаетесь с пользовательским соглашением