Упр.263 ГДЗ Макарычев Миндюк 9 класс (Алгебра)
Решение #1
Решение #2

Рассмотрим вариант решения задания из учебника Макарычев, Миндюк, Нешков 9 класс, Просвещение:
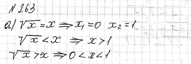
263. Пользуясь графиками функций у = х, у = корень х, у = корень 3 степени х, решите уравнение и неравенства:
а) корень х = х, корень х < х, корень x > х; б) корень 3 степени х = х, корень 3 степени х < х, корень 3 степени х > х.
*размещая тексты в комментариях ниже, вы автоматически соглашаетесь с пользовательским соглашением