Упр.330 ГДЗ Макарычев Миндюк 9 класс (Алгебра)
Решение #1
Решение #2

Рассмотрим вариант решения задания из учебника Макарычев, Миндюк, Нешков 9 класс, Просвещение:
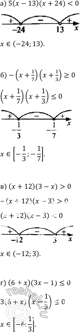
330. Найдите множество решений неравенства:
а) 5(x-13)(x+24)<0;
б) -(x+1/7)(x+1/3)>0;
в) (x+12)(3-x)>0;
г) (6+x)(3x-1)<=0.
*размещая тексты в комментариях ниже, вы автоматически соглашаетесь с пользовательским соглашением