Упр.331 ГДЗ Макарычев Миндюк 9 класс (Алгебра)
Решение #1
Решение #2

Рассмотрим вариант решения задания из учебника Макарычев, Миндюк, Нешков 9 класс, Просвещение:
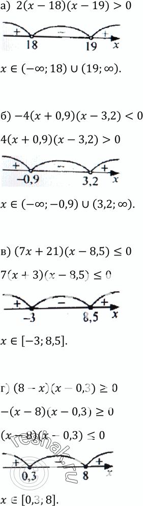
331. Решите неравенство:
а) 2(х - 18)(x - 19) > 0;
б) -4(х + 0,9)(x - 3,2) < 0;
в) (7х + 21)(х - 8,5) <= 0;
г) (8 - х)(х - 0,3) >= 0.
*размещая тексты в комментариях ниже, вы автоматически соглашаетесь с пользовательским соглашением