Упр.366 ГДЗ Макарычев Миндюк 9 класс (Алгебра)
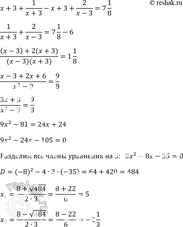
Решение #1
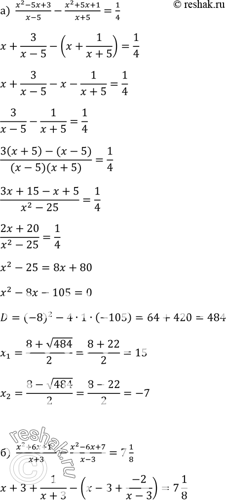
Решение #2

Рассмотрим вариант решения задания из учебника Макарычев, Миндюк, Нешков 9 класс, Просвещение:
366. Решите уравнение, используя выделение целой части из дроби:
*размещая тексты в комментариях ниже, вы автоматически соглашаетесь с пользовательским соглашением