Упр.405 ГДЗ Макарычев Миндюк 9 класс (Алгебра)
Решение #1
Решение #2

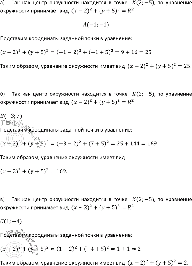
Рассмотрим вариант решения задания из учебника Макарычев, Миндюк, Нешков 9 класс, Просвещение:
405. Напишите уравнение окружности, зная, что её центр находится в точке К(2; -5) и она проходит через точку:
а) А(-1; -1); б) В(-3; 7); в) С(1; -4).
*размещая тексты в комментариях ниже, вы автоматически соглашаетесь с пользовательским соглашением