Упр.644 ГДЗ Макарычев Миндюк 9 класс (Алгебра)
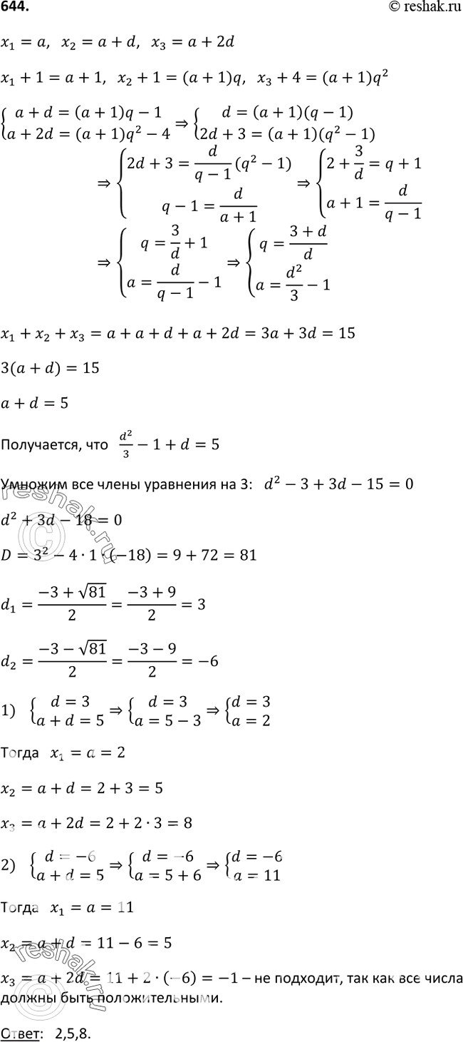
Решение #1
Решение #2

Рассмотрим вариант решения задания из учебника Макарычев, Миндюк, Нешков 9 класс, Просвещение:
644 Сумма трёх положительных чисел, образующих арифметическую прогрессию, равна 15. Найдите эти числа, если известно, что, увеличив первое и второе числа на 1, а третье на 4 мы получим геометрическую прогрессию.
*размещая тексты в комментариях ниже, вы автоматически соглашаетесь с пользовательским соглашением