Упр.646 ГДЗ Макарычев Миндюк 9 класс (Алгебра)
Решение #1
Решение #2

Рассмотрим вариант решения задания из учебника Макарычев, Миндюк, Нешков 9 класс, Просвещение:
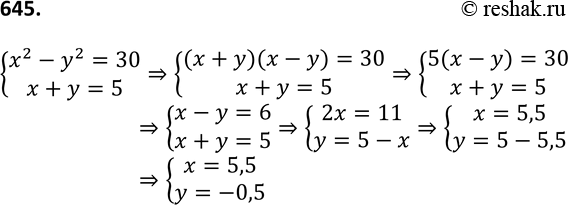
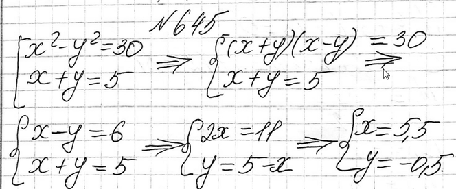
646. Найдите координаты точки, принадлежащей графику уравнения х2 — у2 — 30, если известно, что их сумма равна 5.
*размещая тексты в комментариях ниже, вы автоматически соглашаетесь с пользовательским соглашением