Упр.6.20 ГДЗ Мордкович 9 класс (Алгебра)
Решение #1
Решение #2

Рассмотрим вариант решения задания из учебника Мордкович 9 класс, Мнемозина:
Решите систему уравнений:
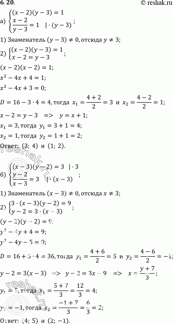
6.20 а) система
(x-2)(y-3)=1,
(x-2)/(y-3) =1;
б) система
(x-3)(y-2)=3,
(y-2)/(x-3)=3;
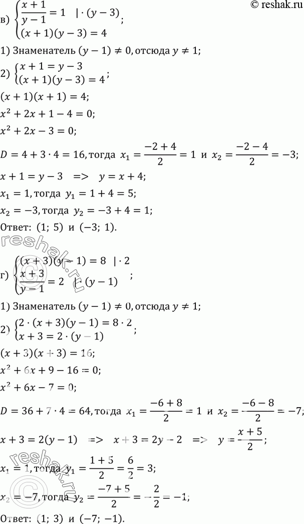
в) система
(x+1)/(y-3)=1,
(x+1)(y-3)=4;
г) система
(x+3)(y-1)=8,
(x+3)/(y-1) =2.
*размещая тексты в комментариях ниже, вы автоматически соглашаетесь с пользовательским соглашением