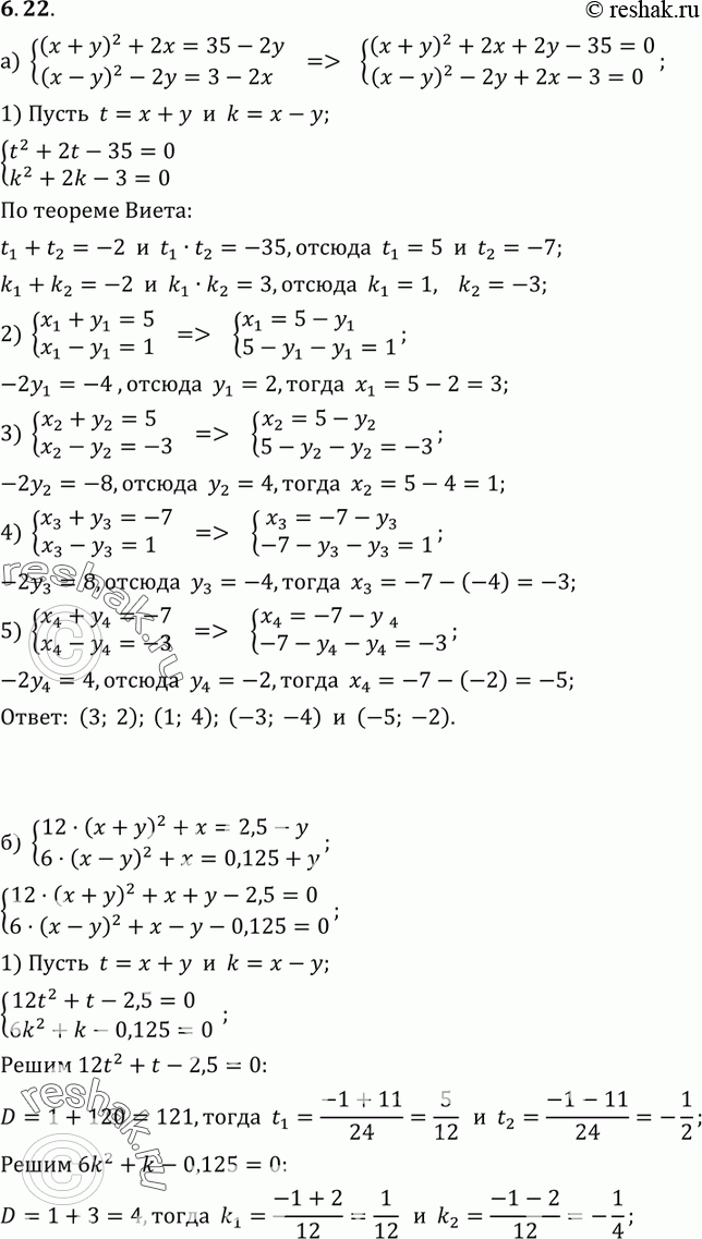
Упр.6.22 ГДЗ Мордкович 9 класс (Алгебра)
Решение #1
Решение #2

Рассмотрим вариант решения задания из учебника Мордкович 9 класс, Мнемозина:
6.22 а) система
(x+y)2+2x=35-2y,
(x-y)2-2y=3-2x;
б) система
12(x+y)2+x=2,5-y,
6(x-y)2+x=0,125+y.
*размещая тексты в комментариях ниже, вы автоматически соглашаетесь с пользовательским соглашением