Упр.26.16 ГДЗ Мордковича 10 класс профильный уровень (Алгебра)
Решение #1
Решение #2(записки учителя)

Рассмотрим вариант решения задания из учебника Мордкович, Семенов 10 класс, Мнемозина:
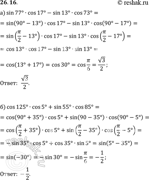
a) sin 77° cos 17° - sin 13° cos 73°;
6) cos 125° cos 5° + sin 55° cos 85°.
*размещая тексты в комментариях ниже, вы автоматически соглашаетесь с пользовательским соглашением