Упр.1477 ГДЗ Алимов 10-11 класс (Алгебра)
Решение #1
Решение #2

Рассмотрим вариант решения задания из учебника Алимов, Колягин, Ткачёва 11 класс, Просвещение:
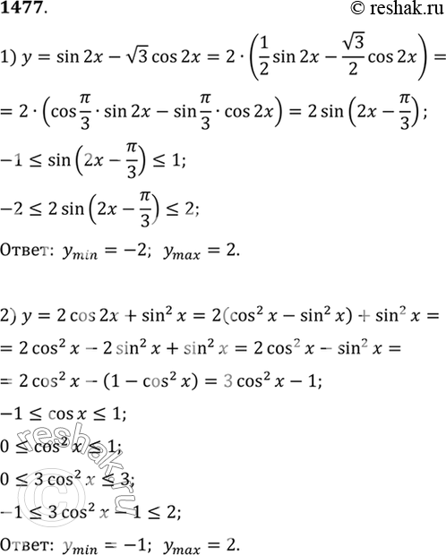
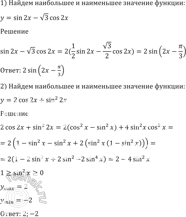
1477 Найти наибольшее и наименьшее значения функции
1) у = sin 2х- (корень 3) cos 2х;
2) у = 2 cos 2х + sin2 х.
*размещая тексты в комментариях ниже, вы автоматически соглашаетесь с пользовательским соглашением