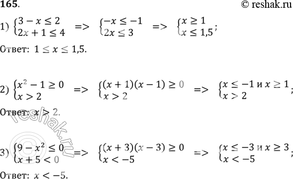
Упр.165 ГДЗ Алимов 10-11 класс (Алгебра)
Решение #1
Решение #2

Рассмотрим вариант решения задания из учебника Алимов, Колягин, Ткачёва 10 класс, Просвещение:
165. Решить систему неравенств:
1) система
3-x <=2,
2x+1<=4;
2) система
x2-1>=0,
x>2;
3) система
9-x2<0,
x+5<0.
*размещая тексты в комментариях ниже, вы автоматически соглашаетесь с пользовательским соглашением