Упр.167 ГДЗ Алимов 10-11 класс (Алгебра)
Решение #1
Решение #2

Рассмотрим вариант решения задания из учебника Алимов, Колягин, Ткачёва 10 класс, Просвещение:
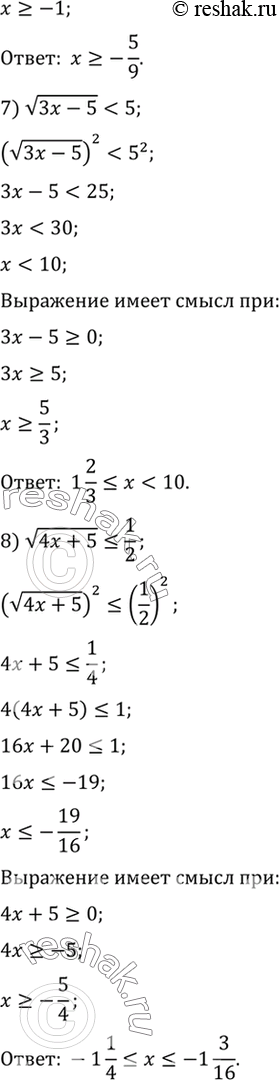
167. 1) корень (x-2)>3;
2) корень (x-2)<1;
3) корень (3-x)<5;
4) корень (4-x)>3;
5) корень (2x-3)>4;
6) корень (x+1)>=2/3;
7) корень (3x-5)<5;
8) корень (4x+5)<=1/2.
*размещая тексты в комментариях ниже, вы автоматически соглашаетесь с пользовательским соглашением