Упр.27 ГДЗ Алимов 10-11 класс (Алгебра)
Решение #1
Решение #2

Рассмотрим вариант решения задания из учебника Алимов, Колягин, Ткачёва 10 класс, Просвещение:
27. (Устно.) 1) Найти арифметический квадратный корень из числа: 1; 0; 16; 0,81; 169; 1/ 289
2) Найти арифметический кубический корень из числа: 1; 0; 125; 1/27; 0,027; 0,064.
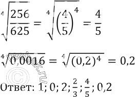
3) Найти арифметический корень четвёртой степени из числа: 0; 1; 16/81; 256/625; 0,0016.
*размещая тексты в комментариях ниже, вы автоматически соглашаетесь с пользовательским соглашением