Упр.29 ГДЗ Алимов 10-11 класс (Алгебра)
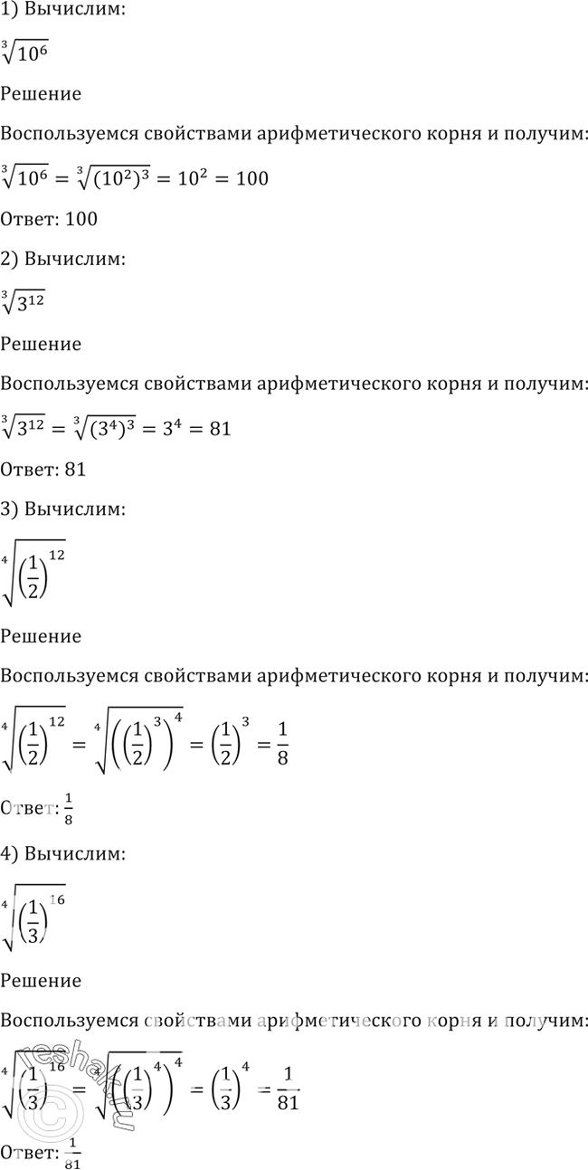
Решение #1
Решение #2

Рассмотрим вариант решения задания из учебника Алимов, Колягин, Ткачёва 10 класс, Просвещение:
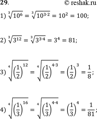
29. 1) корень 3 степени 10^6;
1) корень 3 степени 3^12;
1) корень 4 степени (1/2)12;
1) корень 4 степени (1/3)^16.
*размещая тексты в комментариях ниже, вы автоматически соглашаетесь с пользовательским соглашением