Упр.900 ГДЗ Алимов 10-11 класс (Алгебра)
Решение #1
Решение #2

Рассмотрим вариант решения задания из учебника Алимов, Колягин, Ткачёва 11 класс, Просвещение:
900 Найти промежутки возрастания и убывания функции:
1) у = х2 - х;
2) у = 5х2 - 3х - 1;
3) у = х2 + 2х;
4) у = х2 + 12х - 100;
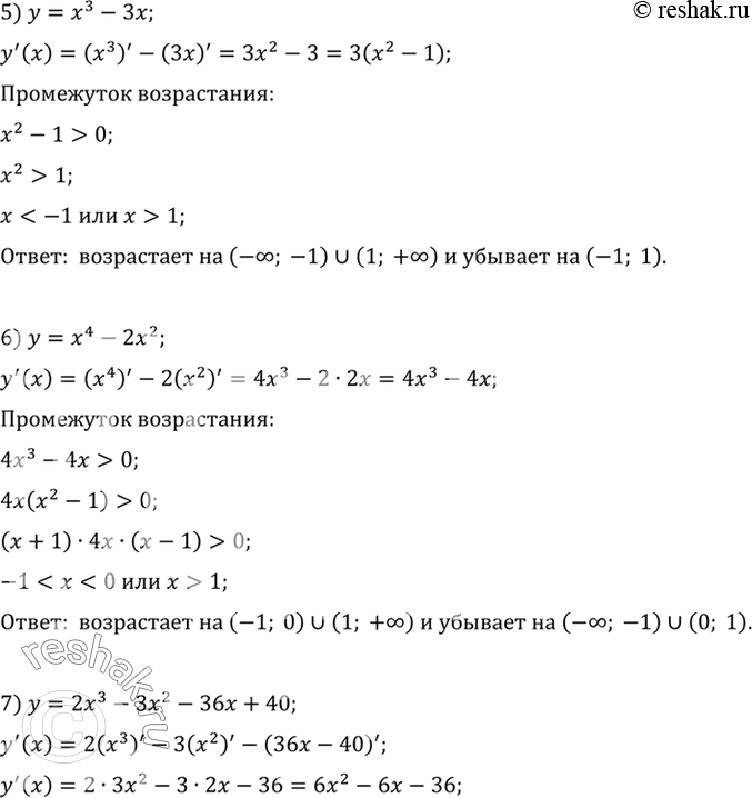
5) у — х3 - 3х;
6) у = х4 - 2х2;
7) у = 2х3 - Зх2 - 36х + 40;
8) у = х3 - 6х2 + 9.
*размещая тексты в комментариях ниже, вы автоматически соглашаетесь с пользовательским соглашением