Упр.24.33 ГДЗ Мордкович 10-11 класс (Алгебра)
Решение #1
Решение #2

Рассмотрим вариант решения задания из учебника Мордкович, Семенов 10 класс, Мнемозина:
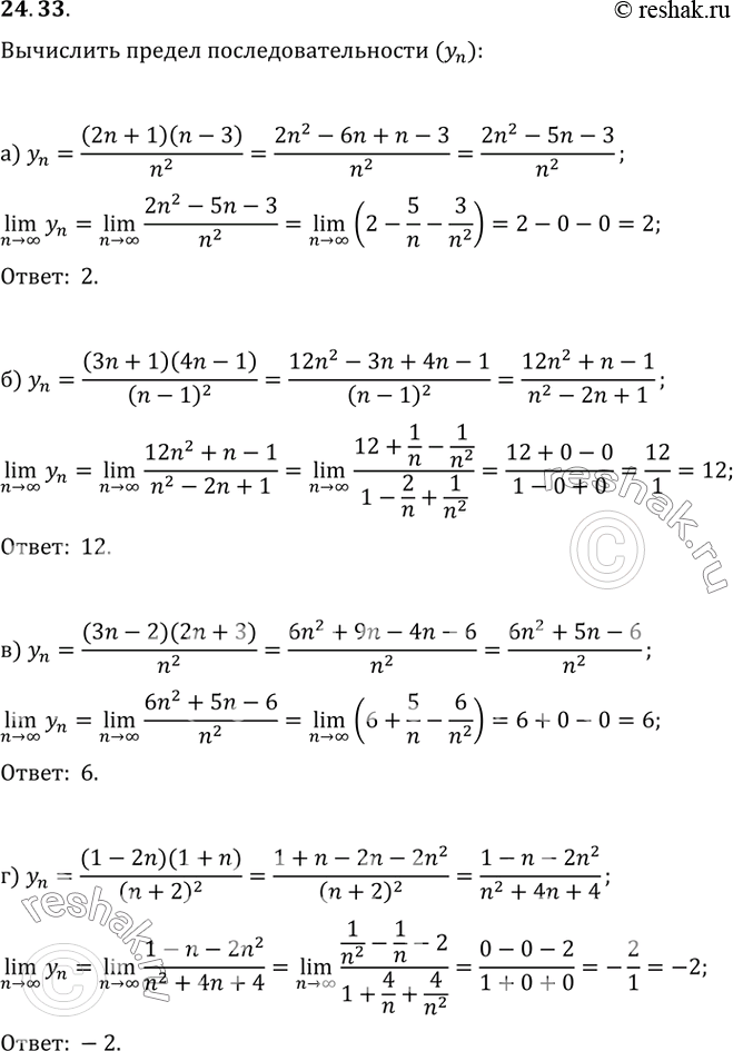
24.33 Вычислите предел последовательности (yn):
а) yn = (2n + 1)(n - 3) / n2;
б) yn = (3n + 1)(4n - 1) / (n - 1)^2;
в) yn = (3n - 2)(2n + 3) / n2;
г) yn = (1 - 2n)(1 + n) / (n + 2)^2.
*размещая тексты в комментариях ниже, вы автоматически соглашаетесь с пользовательским соглашением