Упр.25.1 ГДЗ Мордкович 10-11 класс (Алгебра)
Решение #1
Решение #2

Рассмотрим вариант решения задания из учебника Мордкович, Семенов 10 класс, Мнемозина:
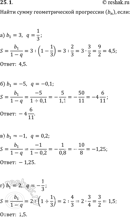
25.1 Найдите сумму геометрической прогрессии (bn), если:
а) b1 = 3, q = 1/3;
б) b1 = -5, q = -0,1;
в) b1 = -1, q = 0,2;
г) b1 = 2, q = -1/3.
*размещая тексты в комментариях ниже, вы автоматически соглашаетесь с пользовательским соглашением