Упр.25.2 ГДЗ Мордкович 10-11 класс (Алгебра)
Решение #1
Решение #2

Рассмотрим вариант решения задания из учебника Мордкович, Семенов 10 класс, Мнемозина:
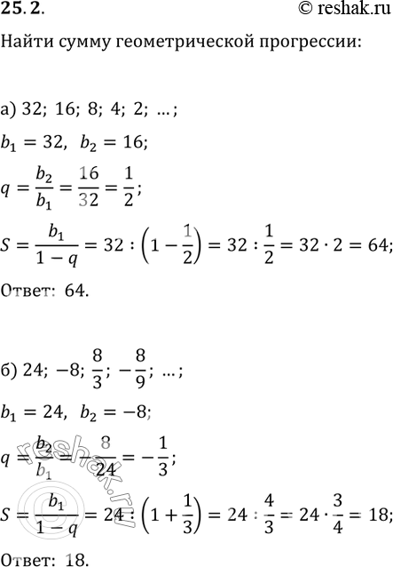
25.2 Найдите сумму геометрической прогрессии:
а) 32, 16, 8, 4, 2, ...;
б) 24, -8, 8/3, -8/9, ...;
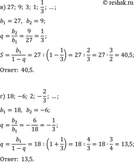
в) 27, 9, 3, 1, 1/3, ...;
г) 18, -6, 2, -2/3, ....
*размещая тексты в комментариях ниже, вы автоматически соглашаетесь с пользовательским соглашением